Câu hỏi:
Một xi lanh thẳng đứng có một đầu kín và một đầu hở, bên trong có chứa một lượng khí hydrogen (xem là khí lí tưởng). Xi lanh được đậy kín nhờ một pit tông nhẹ, phía trên pit tông có một cột chất lỏng như hình vẽ bên. Lượng khí hydrogen luôn được cung cấp nhiệt chậm để giãn nở đẩy pit tông di chuyển từ từ. Khi toàn bộ chất lỏng bị tràn ra ngoài thì nhiệt lượng mà lượng khí hydrogen đã nhận được là 119 J. Biết rằng, thể tích ban đầu của chất lỏng bằng một nửa thể tích của lượng khí hydrogen và bằng thể tích của phần không khí chiếm trong xi lanh. Áp suất của cột chất lỏng là \(\dfrac{1}{9}{{\text{p}}_{0}}\) với \({{\text{p}}_{0}}={{10}^{5}}\) Pa là áp suất khí quyển. Bỏ qua mọi ma sát. Biết nội năng của n mol khí hydrogen ở nhiệt độ T (K) là \(\text{U}=\dfrac{5}{2}\text{nRT}\). Độ lớn công mà khối khí lí tưởng thực hiện để biến đổi từ trạng thái A sang trạng thái B bằng diện tích hình phẳng giới hạn bởi đồ thị biểu diễn sự biến đổi của áp suất theo thể tích \(\text{p}=\text{p}\left( \text{V} \right)\), trục hoành và hai đường thẳng \(\text{V}={{\text{V}}_{\text{A}}}\) và \(\text{V}={{\text{V}}_{\text{B}}}\).

Đáp án đúng: Đúng, Đúng, Sai, Sai
a) ĐÚNG
Trong quá trình pit tông bắt đầu di chuyển đến khi chất lỏng bắt đầu tràn ra ngoài, lượng khí hydrogen được cung cấp nhiệt chậm để pit tông di chuyển từ từ nên áp suất của lượng khí hydrogen không đổi. Sau đó, chất lỏng bắt đầu tràn ra ngoài làm cho áp suất tác dụng lên lượng khí giảm dần. Mà pit tông vẫn di chuyển từ từ nên áp suất của lượng khí hydrogen cũng giảm dần cho đến khi toàn bộ lượng chất lỏng bị tràn ra ngoài.
b) ĐÚNG
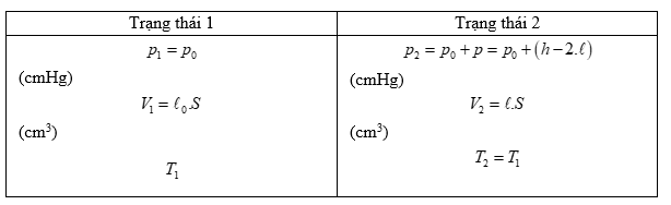
Xét quá trình từ khi bắt đầu cung cấp nhiệt đến khi toàn bộ chất lỏng bị tràn ra ngoài:

+ Các trạng thái của lượng khí hydrogen:
+ Quá trình biến đổi trạng thái của lượng khí hydrogen được biểu diễn trên hệ toạ độ (p,V) như sau:

+ Độ biến thiên nội năng của lượng khí hydrogen:
\(U=\dfrac{5}{2}nR\left( {{T}_{3}}-{{T}_{1}} \right)=A+Q\)
\(\dfrac{5}{2}\left( {{p}_{3}}{{V}_{3}}-{{p}_{1}}{{V}_{1}} \right)=-\left[ \dfrac{10}{9}{{p}_{0}}\left( \dfrac{3}{4}V-\dfrac{1}{2}V \right)+\dfrac{1}{2}\left( \dfrac{10}{9}{{p}_{0}}+{{p}_{0}} \right)\left( V-\dfrac{3}{4}V \right) \right]+119\)
\(\dfrac{5}{2}\left( {{p}_{0}}V-\dfrac{10}{9}{{p}_{0}}.\dfrac{1}{2}V \right)=-\dfrac{13}{24}{{p}_{0}}V+119\)
\(\dfrac{10}{9}{{p}_{0}}V=-\dfrac{13}{24}{{p}_{0}}V+119\)
\(\dfrac{119}{72}{{p}_{0}}V=119\)
\(V=0,00072~{{m}^{3}}=0,72\) ℓ
Vậy thể tích ban đầu của lượng khí hydrogen là \(\dfrac{1}{2}V=\dfrac{1}{2}.0,72=0,36\) ℓ.
c) SAI
Công mà lượng khí hydrogen đã thực hiện cho đến khi toàn bộ chất lỏng bị tràn ra ngoài có độ lớn bằng:
\(A=\dfrac{13}{24}{{p}_{0}}V=\dfrac{13}{24}{{.10}^{5}}.0,00072=39\) J.
d) SAI
Từ khi bắt đầu cung cấp nhiệt đến khi toàn bộ chất lỏng bị tràn ra ngoài thì độ biến thiên nội năng của lượng khí hydrogen là: \(U=A+Q=-39+119=80\) J.
Câu hỏi này thuộc đề thi trắc nghiệm dưới đây, bấm vào Bắt đầu thi để làm toàn bài
Tuyển Tập Đề Thi Tham Khảo Tốt Nghiệp THPT Năm 2025 - Vật Lí - Bộ Đề 07 là tài liệu ôn tập quan trọng dành cho học sinh lớp 12, giúp các em rèn luyện kỹ năng làm bài và chuẩn bị tốt nhất cho kỳ thi tốt nghiệp THPT 2025. Bộ đề được biên soạn theo định hướng của Bộ GD ĐT, bám sát chương trình học, bao gồm các chủ đề quan trọng như cơ học, điện học, quang học, dao động và sóng, vật lý hạt nhân… Hệ thống câu hỏi trắc nghiệm phong phú, được thiết kế theo nhiều mức độ từ nhận biết, thông hiểu đến vận dụng và vận dụng cao, giúp học sinh làm quen với cấu trúc đề thi và phát triển kỹ năng phân tích, tư duy logic. Mỗi đề thi đều có đáp án chi tiết và hướng dẫn giải cụ thể, hỗ trợ học sinh tự đánh giá năng lực, xác định điểm mạnh và cải thiện điểm yếu trong quá trình ôn tập.
Câu hỏi liên quan

Bộ 50 Đề Thi Thử Tốt Nghiệp THPT Giáo Dục Kinh Tế Và Pháp Luật Năm 2026 – Theo Cấu Trúc Đề Minh Họa Bộ GD&ĐT

Bộ 50 Đề Thi Thử Tốt Nghiệp THPT Lịch Sử Học Năm 2026 – Theo Cấu Trúc Đề Minh Họa Bộ GD&ĐT

Bộ 50 Đề Thi Thử Tốt Nghiệp THPT Công Nghệ Năm 2026 – Theo Cấu Trúc Đề Minh Họa Bộ GD&ĐT

Bộ 50 Đề Thi Thử Tốt Nghiệp THPT Môn Hóa Học Năm 2026 – Theo Cấu Trúc Đề Minh Họa Bộ GD&ĐT

Bộ 50 Đề Thi Thử Tốt Nghiệp THPT Môn Sinh Học Năm 2026 – Theo Cấu Trúc Đề Minh Họa Bộ GD&ĐT





